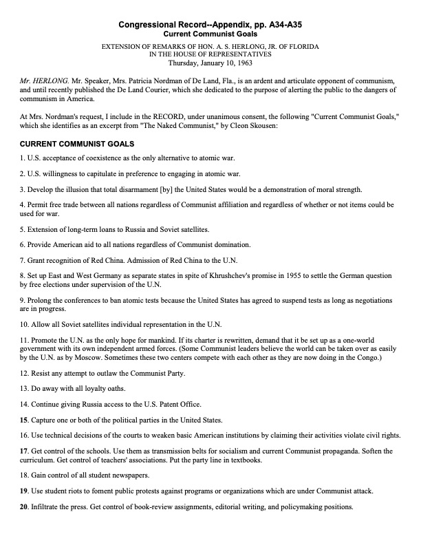
45 COMMUNIST GOALS

 

After WWII, the Communist apparatus infiltrated America.  Little did we know, but these 45 Communist Goals were well thought out and implemented to take down America from within.  In 1963, these goals were read into Congressional Record during a time in our nation's history when few Americans knew of the real dangers lurking within. 

 

 

Click here for the pdf


 

 

THE ENEMIES WITHIN & ENEMIES WITHIN THE CHURCH

 

The documentaries Enemies Within and Enemies Withing the Church are both power films that highlight the dangers of the Communist infiltration of our country including the church.  We often wonder why churches are not standing up for America especially outside the church building itself.  Well, they've been infiltrated as well. 

 

Click here to watch the trailer of Enemies Within:

 

Image
Enemies Within

 

Click here to watch the trailer of Enemies Within The Church: 

 

Image
Enemies Within The Church

 


 

AGENDA  & AGENDA 2

 

In addition to the Enemies Within, Agenda: Grinding America Down and Agenda 2 Masters of Deceit are also powerful films that expose the infiltration from within.  Every American needs to see these films to understand the power play that has been at work controlling our country to destroy our freedoms and liberties.  Click here to watch the trailers.

 

Image
Agenda

 

Image
Agenda 2

 

Click here to order: 

 

Image
Agenda

 


 

FORMER SECRETARY MIKE POMPEO WARNS THE GOVERNORS OF THEIR COLLABORATION WITH THE CCP

 

Image
Mike Pompeo

 

In early 2020, prior to the COVID attack on our nation, Secretary of State, Mike Pompeo, warned the nation's governors about their collaboration with the Chinese Communist Party.  While speaking during their Governor's Conference, he referenced a report that the CCP had released describing each of the governors as "friendly", "hard-line" or "ambiguous".  Below is the report he reference. 

 

2019 Communist Report: Panoramic View of the US Attitude Towards China-Governers

 

Here's the report which we had translated into English: